

1. 柱体积计算及推荐冲洗量
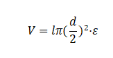
柱体积计算方式如下:

l——柱长;
d——内径;
ε——空隙率(流动相自由通过的空隙体积,占色谱柱总空柱体积的比例);常规色谱柱的值在0.6-0.7,通常取0.65。
推荐冲洗量:
活化:核心目的为唤醒新柱填料的活性,同时可去除部分生产杂质。新柱出厂会用保存液封存,填料键合相还处于 “休眠状态”,活化能让填料充分舒展,以此实现组分的稳定保留,以及实验结果的重现,通常活化15-20倍柱体积。

平衡:核心目的为使系统运行状态为方法初始状态,以确保进样过程重复性稳定,通常平衡10-30倍柱体积,建议根据实际基线情况判断。(部分方法需不中断运行的,应连续进样空白进行平衡维持初始状态)
清洗:核心目的为除盐、除难洗脱物,以防止色谱柱堵塞,柱效降低,通常清洗10-20倍柱体积,可根据污染程度适当调整时间。
保存:长期保存需彻底置换主内溶液,置换15-20倍柱体积。
溶剂切换过渡:核心作用为提供过渡,避免不互溶体系直接接触堵塞色谱柱,通常10-15倍柱体积即可。
流速:活化可使用较低流速,让碳链缓慢舒展稳定。HPLC系统,如方法压力较小,其他用途可使用方法流速直接进行,如反冲or系统压力较高,通常取用低流速(eg:0.1ml/min、0.2ml/min)冲洗;UPLC系统,为避免填料高压塌陷,通常逐步提高流速,平缓过渡。
(不同厂家产品略有差异,可参考对应说明书,并根据实验目的进行时间调整)
Tips: 通常情况下,冲洗体积达到15倍柱体积时,柱内溶液残留率约0.25%,可视为完全置换。(亦需视情况而定,例如反向系统冲为正向系统所需时间通常更久)
2. 常见规格色谱柱柱体积

更多产品信息,请咨询!
*含AI生成图片。

关于康成百澳生物
生命科学领域快速消费品及配套服务的专业供应商,总部位于泰州医药城,上海、广州、南京、成都、苏州、杭州、武汉等地设有分公司及办事处。
产品线涵盖精准医疗、抗体、疫苗、CGT、分子生物学与细胞生物学、常规临床检验、药物筛选、基因组学与蛋白质组学等研究和应用领域,以“技术+产品+服务”的一体化模式服务客户。

部分图片、字体、文字来源于网络 如有侵权请联系删除
©2022-2025 柏澳集 All Rights Reserved. 苏ICP备19039921号-2
建议您使用Chrome、Firefox、Edge、IE10及以上版本和360等主流浏览器浏览本网站。
本网站销售的所有产品均不得用于人类或动物之临床诊断或治疗,仅可用于工业或者科研等非医疗目的。
互联网药品信息服务资格证书编号:苏-经营性-2022-0029 、增值电信业务经营许可证:苏B2-20221250 、医疗器械生产(经营)许可证或备案凭证编号:苏泰食药监械经营备20207022号